鉅大鋰電 | 點擊量:0次 | 2018年07月24日
探究鋰電池老化后的電解液的蹤跡
對于一些需要長期使用的領域,例如電動汽車設計壽命一般要達到十年左右,要滿足如此長時間的使用壽命需求,鋰離子電池的壽命一般需要設計到1000次以上,甚至是3000次,這就需要我們對鋰離子電池老化和衰降過程的機理有深入的認識。
隨著電子技術的不斷發展,鋰離子電池也逐漸走進了我們的日常生活之中,無論是智能手機,還是平板電腦等都能夠見到鋰離子電池的身影,一般來說消費級電子產品的更新和換代速度很快,因此鋰離子電池的壽命一般設計到500次以上也就基本上滿足需求了。
但是對于一些需要長期使用的領域,例如電動汽車設計壽命一般要達到十年左右,要滿足如此長時間的使用壽命需求,鋰離子電池的壽命一般需要設計到1000次以上,甚至是3000次,這就需要我們對鋰離子電池老化和衰降過程的機理有深入的認識。影響鋰離子電池壽命的因素很多,例如電極的成分和結構,電解液的選用,以及使用的條件等。
鋰離子電池的電解液一般包含,溶劑鹽(常見的為LiPF6)和直鏈碳酸酯,如DMC,EMC和DEC等,以及環狀碳酸酯,例如EC和PC等組成,由于鋰離子電池的體系的電化學勢較高,正極一般超過4V,負極可達0.1V左右,所以電解液在鋰離子電池內部面臨的雙重的考驗,既不能被正極氧化,也不能被負極還原。
為了改善電解液的電化學穩定性,還需要在其中添加一些添加劑,例如FEC、VC等,在鋰離子電池初次充電的過程中,這些添加劑會與與負極發生反應,被還原,從而在負極的表面形成一層保護層,從而阻止溶劑進一步與負極發生反應。
但是電解液在循環過程難以避免發生分解和氧化等,造成一部分活性Li的損失,為了研究在電池老化過程中,電解液的發生的變化,來自德國明斯特大學的XaverMonnighoff等人利用超臨界二氧化碳萃取和氣相色譜等方法對老化電池中的電解液進行了成分分析,在電解液中發現了17種不穩定的老化產物,其中有7種在以往的文獻中從未報道過。
實驗中XaverMonnighoff采用了18650電池結構(NMC532/C),分別在20℃和45℃按照1C/1C的制度進行循環測試(2.75V-4.2V),壽命終止EOL定位初始容量的70%,完成測試的電池在手套箱內完成拆解,將取出的電芯,利用超臨界二氧化碳萃取設備進行萃取,然后利用氣相色譜儀對上述分離的電解液進行了成分分析。
下圖是從全新電池中提取的電解液的氣相色譜儀分析結果,從其中能夠看到電解液常見的溶劑和添加劑的。

電池在20℃和45℃下的循環性能曲線如下圖所示,從結果上來看,溫度對電池的循環性能有著顯著的影響,在45℃下循環的電池具有更好的循環性能,壽命終止時循環次數在1500次左右,而20℃下電池的循環性能很差,僅僅循環300次左右就已經達到了壽命終止,分析認為,導致20℃下電池的循環性能差的原因主要是因為PC溶劑的共嵌入和石墨片層剝落。

下圖是從新電池、20℃和45℃循環電池內獲取的電解液的氣相色譜分析結果,為了便于分析XaverMonnighoff將分析結果分為三個部分,分別是3-7min,7-10min和10-13min。在區域1中,新電池的電解液檢測到了三個峰值,分別對應的是EMC和單氟磷酸鹽EMFP(可能是電池在化成和SEI成膜過程中由于VC分解產生),以及VC。
在45℃循環電池的電解液中只發現了EMC和EMFP,這說明在成膜過程中已經將VC完全消耗。而在20℃循環的電池中發現了多種分解產物,從圖片上能夠看到EMC(1號峰),DMFP(2號峰)和EMFP(5號峰),以及其他三種含有丙烯鏈的產物(3,4和6號峰),分別為甲基異丙基碳酸酯(3號峰MiPrC),碳酸甲丙酯(4號峰MPrC),1,2-二乙氧基丙烷(6號峰),沒有檢測到VC。

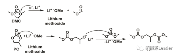
這其中1,2和5號峰所對應的產物的形成機理都已經有過報道,而3,4和6號峰所對應的產物還暫時沒有報道,經過分析XaverMonnighoff認為3,4號產物的產生機理如下式所示。6號峰所對應的產物的形成機理可能是PC溶劑的開環反應。

在7-10min鐘的范圍內,在新電池的電解液中檢測到了FEC和氟磷酸二乙酯DEFP(7號峰),在45℃循環的電池能夠檢測到FEC,但是20℃循環的電池沒有檢測到FEC,表明所有的FEC都已經被消耗了,并且檢測到了另外幾種分解產物,其中8號峰對應的為2,2-二甲氧基乙酸甲酯,9號峰為2-甲氧基乙基甲基碳酸酯,10號峰為TMP,這在之前的文章中也都有報道。
在10-13min的范圍內,在新電池提取的電解液中檢測到了PS和甲氧基-EC(11號峰),甲氧基-EC是在化成過程中VC與甲醇鋰LiOMe反應的產物,由于VC對LiOMe的捕獲效應,VC能夠抑制在化成和循環過程中碳酸烷酯的形成(例如12號峰對應的DMDOHC和15號峰對應的EMDOHC)。
在45℃循環的電池能夠檢測到11號峰和12號峰對應的產物,還有一種無法確定結構的分解產物。而20℃循環的電池,除了檢測到11號和12號峰對應的產物外,還檢測到了另外6種分解產物,下圖是13號峰所對應的分解產物的形成機理,15號峰所對應的產物為EMDOHC,可能是EC與LiOMe或者EMC和DMC的反應產物。
對16號峰進行詳細分析發現,分解產物的結構中含有兩個甲氧基側鏈,但是更詳盡的結構信息暫時還無法獲取。17號峰分析發現,該峰對應的產物含有甲醇鹽和丙醇鹽側鏈,而18號峰對應的產物則含有兩個甲醇鹽的側鏈。

從上述的分析結果來看,在20℃和45℃循環電池的電解液分解產物有很大的不同,在20℃下,由于SEI膜保護不充分,電解液中的許多的線性和環狀碳酸酯發生了分解,從而導致電池在20℃下性能快速下降。


上一篇:鋰電池按什么分類?
下一篇:聚合物鋰電池怎么判斷好和壞啊










